一、超氧化物歧化酶作用《动脉粥样硬化》

一、超氧化物歧化酶作用

SOD是催化O2-歧化反应的酶类,这种歧化反应属于自身氧化还原反应,O2-的歧化反应在H-存在下,经SOD催化,一半O2-氧化为O2,O2-的另一半还原为O22-

SOD+O2-→SOD-+O2

SOD-+O2-+2H+→SOD+H2O2

(SOD:氧化型,SOD-:还原型)

SOD是生物对抗O2-毒性的酶,产物之一H2O2又可与O2-相互作用(Haber-Weins反应)产生OH·,借以清除细胞内O2-。缺氧条件下,培养的大肠杆菌里SOD含量少;有氧条件下,培养的大肠杆菌里SOD含量高。如果将上述两种大肠杆菌置于20个大气压的O2及N2条件下培养,当即见到无O2条件下预先培养的大肠杆菌迅速死亡;有O2条件下,预先培养的大肠杆菌对O2有抵抗性,因此,SOD在防止O2-的毒性方面具有重要意义。

SOD有含Cu、Zn的SOD(Cu、Zn-SOD),含Fe的SOD(Fe-SOD)及含Mn的SOD(MnSOD)三种存在形式。生物界中,细菌等原核生物及线粒体含有Fe-SOD和Mn-SOD,与高等动物所含的Cu、Zn-SOD相比,其蛋白质部分截然不同。目前从牛红细胞中提取了比较多的Cu、Zn-SOD,其结晶纯品已开始用于临床。各种SOD进行的歧化反应稍有不同,Fielden等测出Cu、Zn-SOD中的Cu有1/4处于还原不被氧化状态,这是因为有一部分Cu与O2-进行反应,另一部分处于非反应状态。

Pick等测出大肠杆菌的Mn-SOD对O21的催化反应有两种速度,推测Mn-SOD以三种形式存在并参与反应。

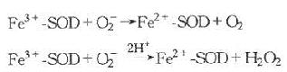
Fe-SOD参与反应的机制与Cu、Zn-SOD一样按两步进行:

SOD生理功能可归纳为:保护细胞,对抗氧的毒性;有助于H2O2浓度的调节,对付微生物的侵害。

上一页:第三节 由基的防御作用
当前页:一、超氧化物歧化酶作用
下一页:二、维生素E的作用

原始资料来源互联网,药药网整理。