三、从血浆直接分离LDL《动脉粥样硬化》

三、从血浆直接分离LDL

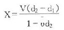
用EDTA抗凝血,离心得血浆,可采用大容量(300ml)超离管进行。血浆容量依次要加定量的KBr(Xg),可按下述公式计算:

V为血浆容量(ml)数,d1、d2分别为该配制的最初的两种溶液密度,υ为调节密度用的KBr的目的试剂水密度的偏比容。血浆d=1.006。首先调节溶液密度到d2=1.019,离心除去。VLDL,d2=1.019的υ为0.2922,即1ml血浆中应当加KBr0.01851g,溶解后,每管注入约16ml将d=1.019溶液8ml(0.5体积)覆盖其上,40kr/min,18℃,离心16h,再除去黄色层以上的上层界面液,测量下层黄色层液ml数,再按上式计算添加0.0644g/mlKBr,以成d=1.063的溶液(υ=0.2982)同样每管(16ml)加8ml的d=1.063溶液覆盖其上,40kr/min,18℃,离心16h,取上层黄色区带,并对0.15mol/lNaCl,0.3mmol/L EDTA(pH8.0)充分透析,该黄色脂蛋白即LDL,可用作LDL受体的配体。

添加KBr量计算式中的偏比溶(υ),d=1.019、1.063、1.125、1.210、1.215的值相应为0.2922、0.2982、0.3035、0.3090、0.3093。

上一页:二、Hatch-Lee法(同时分离血浆脂蛋白方法)
当前页:三、从血浆直接分离LDL
下一页:四、硫酸右旋糖苷(DS)沉淀血清脂蛋白法

原始资料来源互联网,药药网整理。