一、荧光抗体的制备《免疫学和免疫学检验》

一、荧光抗体的制备

(一)抗体的荧光素标记

用于标记的抗体,要求是高特异性和高亲和力的。所用抗血清中不应含有针对标本中正常组织的抗体。一般需经纯化提取IgG后再作标记。作为标记的荧光素应符合以下要求:①应具有能与蛋白质分子形成共价健的化学基团,与蛋白质结合后不易解离,而未结合的色素及其降解产物易于清除。②荧光效率高,与蛋白质结合后,仍能保持较高的荧光效率。③荧光色泽与背景组织的色泽对比鲜明。④与蛋白质结合后不影响蛋白质原有的生化与免疫性质。⑤标记方法简单、安全无毒。⑥与蛋白质的结合物稳定,易于保存。

常用的标记蛋白质的方法有搅拌法和透析法两种。以FITC标记为例,搅拌标记法为:先将待标记的蛋白质溶液用0.5ml/LpH9.0的碳酸盐缓冲液平衡,随后在磁力搅拌下逐滴加入FITC溶液,在室温持续搅拌4~6h后,离心,上清即为标记物。此法适用于标记体积较大,蛋白含量较高的抗体溶液。优点是标记时间短,荧光素用量少。但本法的影响因素多,若操作不当会引起较台强的非特异性荧光染色。

透析法适用于标记样品量少,蛋白含量低的抗体溶液。此法标记比较均匀,非特异染色也较低。方法为:先将待标记的蛋白质溶液装入透析袋中,置于含FITC的0.01mol/LpH9.4碳酸盐缓冲液中反应过夜,以后再对PBS透析法去除游离色素。低速离心,取上清。

标记完成后,还应对标记抗体进一步纯化以去除未结合的游离荧光素和过多结合荧光素的抗体。纯化方法可采用透析法或层析分离法。

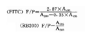
(二)荧光抗体的鉴定

荧光抗体在使用前应加以鉴定。鉴定指标记包括效价及荧光素与蛋白质的结合比率。抗体效价可以用琼脂双扩散法进行滴定,效价大于1:16者较为理想。荧光素与蛋白质结合比率(F/P)的测定和计算的基本方法是:将制备的荧光抗体稀释至A2801≈1.0,分别测读A280(蛋白质特异吸收峰)和标记荧光素的特异吸收峰,按公式计算。

F/P值越高,说明抗体分子上结合的荧光素越多,反之则越少。一般用于固定标本的荧光抗体以F/P=1.5为宜,用于活细胞染色的以F/P=2.4为宜。

抗体工作浓度的确定方法类似ELISA间接法中酶标抗体的滴定。将荧光抗体自1:4~1:256倍比稀释,对切片标本作荧光抗体染色。以能清晰显示特异荧光、且非特异染色弱的最高稀释度为荧光抗体工作浓度。

荧光抗体的保存应注意防止抗体失活和防止荧光猝灭。最好小量分装,-20℃冻存,这样就可放置3~4年。在4℃中一般也可存放1~2年。

上一页:二、荧光物质
当前页:一、荧光抗体的制备
下一页:二、免疫荧光显微技术

原始资料来源互联网,药药网整理。