四、多组资料的比较《医学统计学》

四、多组资料的比较

多组资料的比较也是从排秩号开始,但不是直接用秩和进行检验,有的书籍称之为秩检验(rank test),以示与秩和检验有别,其检验假设也较复杂:在处理完全随机设计的资料时,H0:F(X)=F(X2)=F(X3)=……,即比较的各样本所对应的各总体的分布函数相等,H1:各总体的分布函数不相等或不全相等;在处理随机单位组设计的资料时,H0:P(χij=r)=1/n,即内组各秩号r之概率相等,都是1/n(r=1,2,……,n)而H1为:P=(χij=r)≠1/n。

因不同实验设计所得资料的处理也有别,故下面分别举例说明之。

(一)完全随机设计所得资料的比较

用的方法是单因素多组秩检验,称为Kruskal-Wallis氏法,或H检验。其计算步骤如下。

1.各自排队,统一编秩号。即将各组数据在本组内从小到大排队,见表10.6各含量栏,再将各组数值一起考虑编出统一秩号,见表10.6各“秩号”栏,分属不同组的相同数值用平均秩号;
2.求各组秩号之和R1以及各组数n1
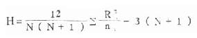
3.代入下式计算H值:

(10.8)

式中N为各组例数之和,Ri和ni为各组的秩号之和以及例数:

4.查表作结论

当比较的组数多于三组,或组数虽只有三组但每组例数大于5时,H值的分布近于自由度等于组数-1的χ2分布,故可用对应的χ2值作界值。当三组比较时每组例数均不超过5时,H值与χ2值有较大偏离,此时可查附表14,直接查得H0.05和H0.01

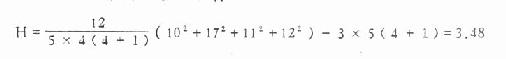
例10.6 雄鼠20只随机分为四组,第1、2组在皮肤上涂用放射性锡(Sn113)标记的三乙基硫酸锡,涂后将皮肤暴露于空气中;第3、4组涂药后用密闭小玻璃管套使皮肤与外界空气隔开,三小时后杀死,测肝中放射物,结果如表10.6,试比较各组含量间有无显著相差?

表10.6 白鼠皮肤涂药后,肝中放射性Sn113的含量

涂干药后敞开涂湿药后敞开涂干药后密闭涂湿药后密闭

含量秩号含量秩号含量秩号含量秩号
0.0011.82110.6653.6714
0.422.52.79120.7164.4616
0.422.53.07130.7574.5118
0.5944.19150.8385.0719
0.9794.47171.49106.0220
RiR1=19R2=68 R3=36 R4=87 
nin1=5n2=5 n3=5 n4=5 

各组资料各自排队,统一编秩号,以及求各组的秩号之和Ri和例数ni见表10.6

代入式(10.8)得

本例组数为4(>3),查χ2值表,ν=4-1=3,得χ20.05,3=7.81,χ20.01,3=11.34,今H>χ20.01,3故P<0.01,在α=0.01水准上拒绝H0,接受H1,即各组肝中放射性Sn113含量差别显著。

(二)随机单位组设计所得资料的比较

用的方法是双因素多组秩检验,即Friedman氏法。

处理这种资料时可分成两步,对两个因素分别进行检验。现用例10.7说明其计算步骤:

先比较四种防护服对脉搏的影响

1.将穿四种防护服的每一受试者的脉搏数从小到大编秩号,当数值相等时用平均秩号,见表10.7各秩号栏。

2.求各防护服组秩号之和Ri

3.代入式10.9求H值

(10.9)

式中t(treatment)为处理组数,b(block)为单位组数。

4.查表作结论

当t>4或t=4且b>5或t=3且b>9时,H值的分布近于自由度ν=t-1时的χ2分布,故可查相应的χ2值与H值比较作出判断:如t、b不能满足上述条件,则所算得的H值与χ2分布有较大偏离,需查附表15作判断。

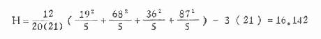
例10.7 受试者5人,每人穿四种不同的防护服时的脉搏数如表10.7,问四种防护服对脉搏的影响有无显著差别?又五个受试者的脉搏数有无显著差别?

表10.7 比较穿四种防护服时的脉搏数(次/分)

受试者防护服A防护服B防护服C防护服D
编 号脉搏秩号脉搏秩号秩号秩号脉搏秩号
1144.44143.03133.41142.82
2116.22119.24118.03110.81
3105.81114.83113.22115.84
498.01120.03104.02132.84
5103.82110.64109.83100.61
秩秩号和Ri 10 17 11 12

t=4b=5

排队、编秩号、求各比较组的Ri见表10.7所示。

将表10.7中各数代入式10.9,得

本例t=4,b=5查附表15,得H0.05=7.80,今H>H0.05,故P>0.05,在α=0.05水准上接受H0,无显著差别,故四种防护服对脉搏的影响无显著差别。

再比较五名受试者的脉搏数:

将数据列出(同表10.7),但秩号是按每种防护服中受试者脉搏的数值从小到大编定,然后求出各受试者秩号之和R,详细见表10.8

表10.8 比较五名受试者的脉搏数

受试者防护服A防护服B防护服C防护服DRi
编 号脉搏秩号脉搏秩号脉搏秩号脉搏秩号
1144.45143.05133.45142.8520
2116.24119.23118.04110.8213
3105.83114.82113.23115.8311
498.01120.04104.01132.8410
5103.82110.61109.82100.616

t=5b=4

将表10.8 所得各数据代入式10.9得

此处t>4,故查ν=5-1=4时的χ2值表,得:χ20.05,4=9.49,χ20.01,4=13.28,今χ20.05,4<H<X20.01,4,故0.05>P>0.01,在α=0.05水准上拒绝H0,接受H1差别显著;即五名受试者脉搏数相差显著,1号受试者最高,5号受试者最低。

上一页:三、两组等级资料的比较
当前页:四、多组资料的比较
下一页:五、多组资料间的两两比较

原始资料来源互联网,药药网整理。