二、临床给药方案和设计《医院药学》

二、临床给药方案和设计

(一)概述80年代医药事来飞速发展,临床应用的药物品种越来越多,据统计,目前国际上现有原料药品约4500余种,并且每年平均增加20~30种。

药物品种日益增加,临床滥用或不合理用药亦日益增多,医药开支日益增大,但临床药物治疗水平在某些方面并没有随着药品品种的增加而有较大提高,由于滥用或不合理用药,临床不断出现严重的医疗事故或引起药源性疾病。

据报导,美国市售药物制剂五十余种左右,经调查发现约有90%属滥用。例如,普通伤风感冒,一开始就使用抗生素就是滥用,因为一则无效;且易产生抗药性;还易引起体内菌群平衡失调,美国FDA成立专门机构,严格控制滥用抗生素。

50年代,德国应用机锡胶囊剂抗感染,结果造成217人中毒102人死亡。

1956年,在西欧市售新药反应停(Thalidomide)治疗妊娠反应,造成8000多畸形胎儿诞生,引起震惊世界的悲惨后果。

1968年有篇报道,澳大利亚生产的苯妥英钠片剂,病人服用疗效一直很好。后来有人将辅料CaSO4改为乳糖,其它未变,临床应用相同剂量,结果连续发生严重中毒事件。后来经生物利用度研究发现,这两种片剂虽然剂量相同,但由于辅料改变引起生物利用度较大变化,使血药浓度发生较大变化导致医疗事故。

还有些药物,治疗剂量与中毒量之间相差很小,每个人对其耐受性和体内消除速率又有很大差异,临床用药稍有不慎则容易产生中毒,甚至死亡。

临床药学是为病人治疗和合理用药之间架设的桥梁,是药理学与药剂学的临床应用,包括病人在用药治疗过程中的临护,使药物发挥有利的一面,尽量减少不利的一面。随着医药卫生事业的飞速发展,药师必须面向临床,必须对制定给药方案的有关知识有较深入的了解,才能在协助医师合理用药方面做出较大贡献。药学教育的根本任务是培养药师,从脱离患者的药学、转向为患者服务的药学,这是无需讨论的当务之急。

1.临床药物动力学与药师的基本任务药物动力学(Pharmacokinetics)与临床药学(ClinicalPharmacy)相结合,产生了临床药物动力学(ClinicalPharmacokinetics),是对每一个患者都能提供安全、有效的治疗方案,包括给药途径、用药剂型、用法、用量、给药间隔等,实行给药方案个体化;可以重新审查给药计划;对不良反应做出定量的解释;对正在进行的血液,腹膜透析患者出现不良反应有助于按计划暂时中止给药及做必要的紧急解毒措施等。

作为临床药师的最基本任务是实现给药方案个体化,进行血药浓度监测的实验设计;数据的统计学处理;受试药剂的制备;广泛收集药学情报;应用临床药学动力学等方面的知识为临床医师提供科学给药方案,做到给药剂量个体化,进一步提高药物的疗效,减少药物的不良反应。

2.给药方案个体化与血浓度监测:

(1)给药方案个体化:目前药理学和治疗学教科书中推荐的药物剂量,大都是平均剂量,就如服装店里所卖成衣的尺码一样。但是,成衣尺码还有不同长短和肥瘦可供顾客选用,而教科书中的剂量,却都是固暄的一个。事实上,只有少数安全、低毒的药物按照既定的平均剂量给药,能使用药者获得满意的疗效。但多数药物并非如此。给予同一剂量后,往往只有一部分病人疗效满意,另外一些病人,或因剂量不足疗效不佳,或因药量过大出现不良反应。有时由于病人体内器官病变,影响到药物在体内的正常吸收、分布、代谢和排泄等动力学变化,即使应用常规剂量,有时或无效或产生中毒,血药浓度监测是帮助实现给药方案个体化的重要手段之一,给药方案个体化则是提高临床疗效的一个重要保证。

(2)血药浓度监测:从医生处方到药物发挥治疗作用或产生不良反应要经过药剂过程(PharmaceuticalProcess)、药物动力学过程(PharmacdynamicProcess)和治疗作用过程(TherapeuticProcess)和治疗作用过程(TherapeuticProcess)等四个过程,因此对药物治疗进行的监测应该包括对上述四种过程的全面监测。

通过治疗药物血药浓度监测,对患者的疾病,所用药物的性质,个体对药物的反应等方面充分了解,借助于特定时间的血药浓度,利用临床药学动力学的原则和公式为病人设计体体化的给药方案,联系临床实际,不断提高临床用药水平。

3.血药浓度监测在给药方案个体化中的地位药理作用强度与剂量在一定范围内密切相关,这是药物学的一条基本规律,是针对群体的平均情况而言。当讨论临床具体病人的处方剂量与所得药效强度之间的关系时,则需考虑下面六个问题:①医生虽然开了处方,但病人是否按医嘱中的给药方案用药?②是否由于使用不同厂家和不同批号的主品、因制剂生物利用度不同而影响疗效?③虽然按处方医嘱用药,生物利用度亦保持一致,但有无可能由于个体病人的药物动力学特点存在个体差异,造成血药浓度的个体差异,从而影响疗效?④虽已按医师的愿望调整并建立了一定的血药浓度,但后者能否反映作用部位的药物浓度?⑤即使控制了作用部位的药物浓度是否一定能保证满意的疗效?⑥显然还要考虑由于其他药物存在而出现协同或拮抗作用的可能性?

以上六个环节都可能使处方剂量与药效强度之间丧失相关性。吸有对这六个环节都有了透彻的了解,才能明确血药浓度监测在给药方案个体化中的地位。

4.哪些情况需要血药浓度监测?在药物浓度一效应关系已经确立的前提下,下列情况需要血药浓度监测:①安全范围较窄的药物,其有效浓度和中毒浓度比较接近,如地高辛、锂盐、茶碱等。②米氏动力学过程的药物,在治疗剂量范围内已呈现零级过种,机体对药物的消除功能已达饱和状态,随剂量增吕,血药浓度不成比例地猛增,伴以消除t1/2明显延长,如阿斯匹林、水杨酸盐、苯妥英钠、普萘洛尔等。③为了确定新药的群体给药方案,进行临床药物动力学研究。④药物动力学的个体差异很大,特别是由于遗传性造成药物代谢速率明显差异的情况,如普鲁卡因胺的乙酰代代谢。⑤中毒症状容易和疾病本身美混淆的药物,如用地高辛控制心律失常时,药物过量也可以引起心律失常。⑥常规剂量也可以引起心律失常。常规剂量下没有看到疗效,测定血药浓度有助于分析疗效不佳的原因(制剂质量有问题,药物消除太快……)。⑦常规剂量下出现毒性反应。⑧药物的消除器官功能受损(如肾功能较差的病人应用氨基糖甙类抗生素;肝功能损害病人应用利多卡因功茶三等)。⑨怀疑由于合并用药而出现的异常反应。⑩诊断的处理过理中毒。

(二)肾功能不良病人给药方案的设计当肾病患者应用某种全部或部分经肾消除,且治疗指数较低的药物(发氨基糖甙类抗生素)时,通常很难掌握既维持疗效,又不产生毒性的给药方案。因为此类药物的t1/2,在肾功能不良患者与正常人比较,t1/2要长的多,按肾功能正常人的给药方案很容易产生中毒和医疗事故。为此,对肾功能不良患者的给药方案需要进行调整。

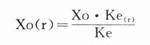
肾病患者给药方案设计:在临床约药方案设计时,亦希望肾功能不良患者体内也能获得在健康人体内显效的平均稳态血药浓度(Css)水平。

对于肾病患者亦有相似的公式:

式中:Css(r)为肾病患者体内平均稳态血药浓度:F(r)为生物利用度;Xo(r)为给药剂量;Ke(r)为消除速度常数;Vd(r)为表观分布容积;

为给药周期。令

若FVDA与肾功能损害程度无关,则

根据此式则肾病患者给药方案调整为:

1.若给药周期不变(τ=τ(r)),肾病患者给药剂量Xo(r)为:

则肾病患者的给药剂量为:

2.若给药剂量不变(Xo=Xo(r)),肾病给药周期τ(r)为:

则肾病患者的给药周期为:

肾病患者的给药方案调整,根据1,2式,只在知道该药物Ke和该患者个体ke(r),即可调整给药剂量给药周期。

对于肾功能减退而ke(r)减小的药物,患者个体消除速度常数ke(r)可以应用Ritschel一点求出或用下面的经验公式求出:ke(r)=a+bclcr式中:clcr为患者的肌酐清除率;a为该药物肾外消除速度常数;b为比例常数。

例如:庆大霉素常用剂量为80mg,给药周期为8h,若测得患者Clcr为40ml/min/m2时,如何调整该患者的给药剂量?

解:查表得:a=2.0b=0.28Ke=30h—1

根据Ke(r)=a+bClcr,则Ke(r)=2+0.28×40=13.2h—1

根据

答:该患者给药剂量应调整为每8h给药35.2mg即可。

(三)t1/2与给药方案设计生物半衰期的变动对于每一种具体药物来说,其t1/2并不是一个绝对数值,文献报导t1/2数值正常情况下的平均值,个体有时会有较大差异,多种因素可引起t1/2变动。

1.剂量效应:药物在体内的主动转运,代谢和分布等过程均与药量有关,剂量增加,可能使其中一个或几个过程达到饱和,t1/2将延长,如非线性的药物t1/2随剂量增加而延长。

2.尿液的pH的影响从尿中排泄的药物,以肾小球滤过,离子型药物从肾小管排泄,非离子型药物被重吸收,重吸收过程随尿液pH影响,如果药物被重吸收,则一方面延长t1/2,另一方面增加药物在体内的再循环。如伪麻黄碱在尿液pH为5.3时,t1/2为5.0h,pH为8.0时,t1/2为13.0h。

3.个体差异文献报导的药物t1/2为正常人的平均值,个体间存在差Beckett在四个受试者中分别口服右旋苯丙胺15mg的溶液剂,测定体内t1/2分别为4.32h;4.75h;4.93h和5.3h。Kruger-Thiemer报导,磺胺类药物的t1/2个体差异可达2倍左右。

个体差异主要为遗传因素影响,但服用药物进的内环境如饮水量,食物性质及机体活动情况亦有影响。

4.年龄的影响年龄不同,t1/2亦不同,特别是新生儿、早产儿、老年人,临床用药应特别注意。

5.药物相互作用某些药物合并应用时,能增加或降低其它药物的代谢或排泄,使t1/2减小或延长。

例如:双香豆素与甲苯磺丁脲合并服用,可使用甲苯磺丁脲的t1/2从4.9h延长到17.5h,血药浓度增加,使血糖明显下降。

保泰松、丙磺舒、苯海拉明等与其它药物同时用时,可促进自身在体内的代谢使其t1/2缩短。例如强力霉素t1/2这12—16h,若与苯巴比妥合并服用,可使其t1/2大大缩短。

6.疾病的影响与生理因素的影响。

上一页:一、概述
当前页:二、临床给药方案和设计
下一页:三、老年人药物动力学的特点

原始资料来源互联网,药药网整理。