(一)直接法《预防医学》

(一)直接法

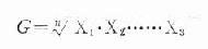
当观察值个数n不多时,直接将n个观察值(X1,X2,……Xn)的乘积开n次方。其计算公式为:

公式(18.3)

其对数形式:

公式(18.4)

例18.3 设有6份血清的抗体效价为1:10,1:20,1:40,1:80,1:80,1:160。求其平均效价。

本例可将各抗体效价的倒数代入公式(18.4),求平均效价数的倒数。

该6份血清的平均抗体效价为1:45。

上一页:二、几何均数(geometric mean)
当前页:(一)直接法
下一页:(二)加权法

原始资料来源互联网,药药网整理。