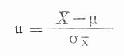
(一)u检验 用于σ已知或σ未知但n足够大[用样本标准差s作为σ的估计值,代入式(19.6)]时。《预防医学》

(一)u检验 用于σ已知或σ未知但n足够大[用样本标准差s作为σ的估计值,代入式(19.6)]时。

公式(19.6)

以算得的统计量u,按表19-3所示关系作判断。

表19-3 u值、P值与统计结论

α|t|值P值统计结论
0.05双侧
单侧
<1.96
<1.645
>0.05不拒绝H0,差别无统计学意义
0.05双侧
单侧
≥1.96
≥1.645
≤0.05拒绝H0,接受H1,差别有统计学意义
0.01双侧
单侧
≥2.58
≥2.33
≤0.01拒绝H0,接受H1,差别有高度统计学意义

例19.3根据大量调查,已知健康成年男子脉搏均数为72次/分,标准差为6.0次/分。某医生在山区随机抽查25名健康成年男子,求得其脉搏均数为74.2次/分,能否据此认为山区成年男子的脉搏高于一般?

据题意,可把大量调查所得的均数72次/分与标准差6.0次/分看作为总体均数μ0和总体标准差σ,样本均数x为74.2次/分,样本例数n为25。

H0: μ=μ0

H1: μ>μ0

α=0.05(单侧检验)

算得的统计量u=1.833>1.645,P<0.05,按α=0.05检验水准拒绝H0,可认为该山区健康成年男子的脉搏高于一般。

上一页:一、样本均数与总体均数比较
当前页:(一)u检验 用于σ已知或σ未知但n足够大[用样本标准差s作为σ的估计值,代入式(19.6)]时。
下一页:(二)t检验 用于σ未知且n较小时。

原始资料来源互联网,药药网整理。