二、配对资料的比较《预防医学》

二、配对资料的比较

在医学研究中,常用配对设计。配对设计主要有四种情况:①同一受试对象处理前后的数据;②同一受试对象两个部位的数据;③同一样品用两种方法(仪器等)检验的结果;④配对的两个受试对象分别接受两种处理后的数据。情况①的目的是推断其处理有无作用;情况②、③、④的目的是推断两种处理(方法等)的结果有无差别。

公式(19.8)

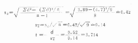
式中,0为差数年总体均数,因为假设处理前后或两法无差别,则其差数的均数应为0,d为一组成对数据之差d(简称差数)的均数,其计算公式同式(18.1);Sd为差数均数的标准误,sd为差数年的标准差,计算公式同式(18.3);n为对子数。

因计算的统计量是t,按表19-4所示关系作判断。

例19.5 应用某药治疗9例高血压病人,治疗前后舒张压如表19-5,试问用药前后舒张压有无变化?

表19-5 高血压病人用某药治疗前后的舒张压(kPa)

病人编号治疗前治疗后差数dD2
112.811.71.01.21
213.113.10.00.00
314.914.40.50.25
414.413.60.80.64
513.613.10.50.25
613.113.3-0.20.04
713.312.80.50.25
814.113.60.50.25
913.312.31.01.00
合计  4.73.89

H0:该药治疗前后的舒张压无变化,即μd=0

H1:该药治疗前后的舒张压有变化,即μd≠0

α=0.05

自由度v=n-1=8,查t界值表得t0.05(8)=2.306,t0。01(8)=3.355,本例t=3.714>t0.01(8),P<0.01,按α=0.05检验水准拒绝H0,接受H1,可认为治疗前后舒张压有变化,即该药有降压作用。

上一页:(二)t检验 用于σ未知且n较小时。
当前页:二、配对资料的比较
下一页:三、完全随机设计的两样本均数的比较

原始资料来源互联网,药药网整理。