(一)u检验 可用于两样本含量n1、n2、均足够大时,如均大于50或100。《预防医学》

(一)u检验 可用于两样本含量n1、n2、均足够大时,如均大于50或100。

公式(19.9)

算得的统计量为u 值,按表19-3所示关系作出判断。

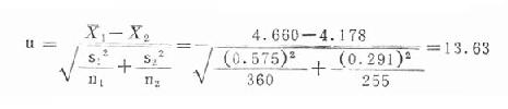
例19.6某地抽样调查了部分健康成人红细胞数,其中男性360人,均数为4.660×1012/L,标准差为0.575×1012/L;女性255人,均数为4.178×1012/L,标准差为0.291×1012/L,试问该地男、女红细胞数的均数有无差别?

H0: μ=μ0

H1: μ≠μ0

α=0.05

今x1=4.660×1012/L,s1=0.575×1012/L,n1=360;

x2=4.1781012/L,s2=0。2911012/L,n2=255.

算得的u=13.63>2.58,P<0.01,按 α=0.05检验水准拒绝H0,接受H1,可认为该地男女红细胞数的均数不同,男性高于女性。

上一页:三、完全随机设计的两样本均数的比较
当前页:(一)u检验 可用于两样本含量n1、n2、均足够大时,如均大于50或100。
下一页:(二)t检验 可用于两样本含量n1、n2较小时,且要求两总体方差相等,即方差齐(homoscedasticity)。若被检验的两样本方差相差较大且差别有统计学意义则需用t'检验。

原始资料来源互联网,药药网整理。