一、完全随机设计的多个样本均数的比较《预防医学》

一、完全随机设计的多个样本均数的比较

又称单因素方差分析。把总变异分解为组间(处理间)变异和组内变异(误差)两部分。目的是推断k个样本所分别代表的μ1,μ2,……μk是否相等,以便比较多个处理的差别有无统计学意义。其计算公式见表19-6。

表19-6 完全随机设计的多个样本均数比较的方差分析公式

变异来源离均差平方和SS自由度v均方MSF
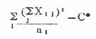
ΣX2-C*N-1  
组间(处理组间)

k-1SS组间/v组间MS组间/MS组间
组内(误差)SS-SS组间N-kSS组内/v组内 

*C=(ΣX)2/N=Σni,k为处理组数

表19-7 F值、P值与统计结论

αF值P值统计结论
0.05<F0.05(v1.V2)>0.05不拒绝H0,差别无统计学意义
0.05≥F0.05(v1.V2)≤0.05拒绝H0,接受H1,差别有统计学意义
0.01≥F0.01(v1.V2)≤0.01拒绝H0,接受H1,差别有高度统计学意义

方差分析计算的统计量为F,按表19-7所示关系作判断。

例19.9 某湖水不同季节氯化物含量测量值如表19-8,问不同季节氯化物含量有无差别?

表19-8 某湖水不同季节氯化物含量(mg/L)

Xij
22.619.118.919.0
22.822.813.616.9
21.024.517.217.6
16.918.015.114.8
20.015.216.613.1
21.918.414.216.9
21.520.116.716.2
21.221.219.614.8
ΣXijj167.9159.3131.9129.3588.4(ΣX)
ni888832(N)
Xi20.9919.9116.4916.16 
ΣX2ijj3548.513231.952206.272114.1111100.84(ΣX2)
        

H0:湖水四个季节氯化物含量的总体均数相等,即μ1234

H1:四个总体均数不等或不全相等

α=0.05

先作表19-8下半部分的基础计算。

C= (Σx)2/N=(588.4)2/32=10819.205

SS=Σx2-C=11100.84-10819.205=281.635

V=N-1=31

V组间=k-1=4-1=3

SS组内=SS-SS组间=281.635-141.107=140.465

V组内=N-k=32-4=28

MS组间=SS组间/v组间=141.107/3=47.057

MS组内=SS组内/v组内=140.465/28=5.017

F=MS组间/MS组内=47.057/5.017=9.380

以v1(即组间自由度)=3,v2(即组内自由度)=28查附表19-2,F界值表,得F0.05(3,28)=2.95,F0.01(3,28)=4.57。本例算得的F=9.380>F0.01(3,28),P<0.01,按α=0.05检验水准拒绝H0,接受H1,可认为湖水不同季节的氯化物含量不等或不全相等。必要时可进一步和两两比较的q检验,以确定是否任两总体均数间不等。

资料分析时,常把上述计算结果列入方差分析表内,如表19-9。

表19-9 例19.9资料的方差分析表

变异来源SSvMSFP
组间141.170347.0579.38<0.01
组内140.465285.017  
281.63531   

上一页:第四节 方差分析
当前页:一、完全随机设计的多个样本均数的比较
下一页:二、随机区组(配伍组)设计的多个样本均数比较

原始资料来源互联网,药药网整理。