一、率的标准误《预防医学》

一、率的标准误

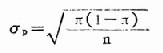
用抽样方法进行研究时,必然存在抽样误差。率的抽样误差大小可用率的标准误来表示,计算公式如下:

公式(20.5)

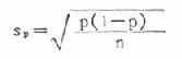
式中:σp为率的标准误,π为总体阳性率,n为样本含量。因为实际工作中很难知道总体阳性率π,故一般采用样本率p 来代替,而上式就变为

公式(20.6)

例 20.5河北省组织高碘地方性甲状腺肿流行病学调查,作者调查了饮用不同碘浓度井水居民甲状腺肿的患病情况,其中有两组资料如下表,试分别求出率的标准误。

水中含碘量均数(μg/L)受检人数患病人数患病率(%)
458.253315591.78
825.9532151805.60

计算法:第一组:n1=3315,p1=1.78%=0.0178

1-p1=1-0.0178=0.9822

第二组:n2=3215,p2=5.60%=0.056

1-p2=1-0.056=0.944

上一页:三、标准的选择
当前页:一、率的标准误
下一页:二、总体率的可信区间

原始资料来源互联网,药药网整理。