二、符号秩和检验(Wilcoxon法)《预防医学》

二、符号秩和检验(Wilcoxon法)

符号等级检验(signedrank test)是上述方法的改进,是在观察“+”“-”号个数的基础上亦考虑差值的大小,通过对差值偏秩求和进行检验的,故效果较好。仍以例21,1介绍其方法步骤。

表21-1宇航员航行前后的心率(次/分)比较

宇航员号(1)航前(2)航后(3)差值(4)=(2)-(3)秩次
+(5)-(6)
17693-17 9
2716831 
3706554 
46165-4 3
58093-13 8
65978-19 11
77483-9 7
86279-17 10
97998-19 12
107278-6 5
118490-6 6
12636032 
合计   771

(一)建立假设

H0:宇航对心率无影响,即差值的总体中位数M=0

H1:宇航对心率有影响,即差值的总体中位数M≠0

α=0.05

(二)求各对数值的差数如表21-2第(4)栏

(三)编秩按差值的绝对值由小到大编秩,将秩次按差值的正负分两栏,如表21-2第(5)、(6)栏。注意:编秩时,遇有几个绝对值相等、符号相反的差值时,各取平均秩次;符号相同的相等差数,可不必取平均秩次;遇有差值为0的,则弃去不计,随之从相应的对子数n中减去。

(四)确定统计量t 分别求正负秩次之和,以绝对值较小者为统计量T,如表21-2第(5)、(6)两栏的合计。本例T=7。

(五)确定P值,作出推论

1.查表法用于对子数n≤25时,根据对子数n查附表21-1符号秩和检验临界值表。若现有统计量T值大于表中相应的界值T0.05,则P>0.05;若现有统计量小于或等于表中相应的T0.05,则P≤0.05。本例对子数n=12,查表得T0.01=7,本例T=7,故P=0.01,按α=0.05检验水准拒绝H0,可认为宇航对心率有影响,使心率增快。由此看出符号秩和检验比符号检验效率高。

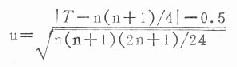
2.正态近似法对子数n>25时,按式(21.2)计算统计u值。

公式(21.2)

因统计量为u值,按表19-3所示关系作出判断。

上一页:一、符号检验(sign test)
当前页:二、符号秩和检验(Wilcoxon法)
下一页:第二节 两组资料的比较

原始资料来源互联网,药药网整理。