(二)样本回归系数的假设检验《预防医学》

(二)样本回归系数的假设检验

样本回归系数也有抽样误差问题,故需对b作假设检验,以评估b是否可能从回归系数为零(即β=0)的总体中随机抽得的。

检验步骤:

H0:β=0 即b是由β=0的总体中随机抽样的样本回归系数。

H1:β≠0

α=0.05

t检验:检验公式为

tb=|b|/sb公式(22.6)

式中sb是回归系数的标准误,计算公式为

公式(22.7)

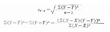
式中sy.x为各观察值Y距回归直线(Y)的标准差,是当X的影响被扣除后Y方面的变异指标。可用以下公式计算:

公式(22.8)

公式(22.9)

本例上述已算得

Σ(X-x)2=677.4194

Σ(Y-Y)2=6.7400

Σ(X-x)(Y-Y)=41.2000

分别代入公式(22.9),(22.8),(22.7)和(22.6)得

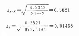
Σ(Y-Y)=6.7400-41.20002/677.4194=4.2343

tb=0.0608/0.01468=4.1417

分析评价 本例自由度v=31-2=29,查t值表,t0.01(29)=2.756,P<0.01,按α=0.05检验水准,拒绝无效假设,可以认为待产妇24小时尿中雌三醇含量与初生儿体重之间存在直线回归关系。

上一页:(一)直线回归方程式(linear regression equation)的计算
当前页:(二)样本回归系数的假设检验
下一页:(三)描绘回归直线

原始资料来源互联网,药药网整理。