二、酶法
1.原理 血清中游离脂肪酸或非酯化脂肪酸(NEFA),经酶试剂作用生成紫色化合物,其颜色深浅与NEFA含量成正比。 
2.试剂组成 | 代号 | 种类 | 组成 | 浓度贮存 | 贮存 | | R1 | 缓冲液 | 磷酸缓冲液 MgCl2液 去垢剂 | 0.04mmol/LpH6.9 3mol/L | | | R2 | 酶/辅酶 | 乙酰CoA合成酶 抗坏血酸氧化酶 CoA ATP 4-AAP 溶于10ml R1液中 | ≥0.3U/ml ≥1.5U/ml 0.9mmol/L 5.0mmol/L 1.5mmol/L | 冷藏5日 | | R3 | 酶稀释液 | 苯氧乙醇 去垢剂 | 0.3%(V/V) | | | R4 | | 马来酰亚胺 该试剂与R3等体积混合 | 10.6mmol/L | | | R5 | 酶试剂 | 乙酰CoA氧化酶 过氧化物酶 TOOS 混合上述试剂,再等体积R4试剂混合 | ≥10U/ml 7.5U/ml 0.2mmol/L | 冷藏5日 | | R6 | 标准液 | | 1mmol/L | 冷藏 |
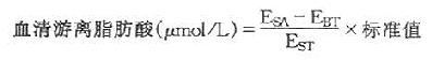
*应用带玻塞离心管 3.操作 按图15-8操作。 4.计算 

图15-7 血清非酯化脂肪酸测定(光度法)操作图 
图15-8 血清非脂化脂肪酸测定(酶法)操作图 (胡汉宁 储建中)
|