一、四格表资料的x[SB]2[/SB]检验《预防医学》

一、四格表资料的x[SB]2[/SB]检验

例20.7某医院分别用化学疗法和化疗结合放射治疗卵巢肿患者,结果如表20-11,问两种疗法有无差别?

表20-11 两种疗法治疗卵巢的疗效比较

组别有效无效合计有效率(%)
化疗组19244344.2
化疗加放疗组34104477.3
合计53348760.9

表内用虚线隔开的这四个数据是整个表中的基本资料,其余数据均由此推算出来;这四格资料表就专称四格表(fourfold table),或称2行2列表(2×2 contingency table)从该资料算出的两种疗法有效率分别为44.2%和77.3%,两者的差别可能是抽样误差所致,亦可能是两种治疗有效率(总体率)确有所不同。这里可通过x2检验来区别其差异有无统计学意义,检验的基本公式为:

公式(20.12)

式中A为实际数,以上四格表的四个数据就是实际数。T为理论数,是根据检验假设推断出来的;即假设这两种卵巢治疗的有效率本无不同,差别仅是由抽样误差所致。这里可将两种疗法合计有效率作为理论上的有效率,即53/87=60.9%,以此为依据便可推算出四格表中相应的四格的理论数。兹以表20-11资料为例检验如下。

检验步骤:

1.建立检验假设:

H0:π1=π2

H1:π1≠π2

α=0.05

2.计算理论数(TRC),计算公式为:

TRC=nR.nc/n公式(20.13)

式中TRC是表示第R行C列格子的理论数,nR为理论数同行的合计数,nC为与理论数同列的合计数,n为总例数。

第1行1列: 43×53/87=26.2

第1行2列: 43×34/87=16.8

第2行1列: 44×53/87=26.8

第2行2列: 4×34/87=17.2

以推算结果,可与原四项实际数并列成表20-12:

表20-12 两种疗法治疗卵巢的疗效比较

组别有效无效合计
化疗组19(26.2)24(16.8)43
化疗加放疗组34(26.8)10(17.2)44
合计533487

因为上表每行和每列合计数都是固定的,所以只要用TRC式求得其中一项理论数(例如T1.1=26.2),则其余三项理论数都可用同行或同列合计数相减,直接求出,示范如下:

T1.1=26.2

T1.2=43-26.2=16.8

T2.1=53-26.2=26.8

T2.2=44-26.2=17.2

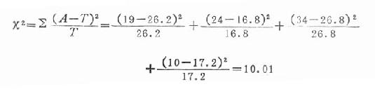
3.计算x2值 按公式20.12代入

4.查x2值表求P值

在查表之前应知本题自由度。按x2检验的自由度v=(行数-1)(列数-1),则该题的自由度v=(2-1)(2-1)=1,查x2界值表(附表20-1),找到x20.001(1)=6.63,而本题x2=10.01即x2>x20.001(1),P<0.01,差异有高度统计学意义,按α=0.05水准,拒绝H0,可以认为采用化疗加放疗治疗卵巢的疗效比单用化疗佳。

通过实例计算,读者对卡方的基本公式有如下理解:若各理论数与相应实际数相差越小,x2值越小;如两者相同,则x2值必为零,而x2永远为正值。又因为每一对理论数和实际数都加入x2值中,分组越多,即格子数越多,x2值也会越大,因而每考虑x2值大小的意义时同时要考虑到格子数。因此自由度大时,x2的界值也相应增大。

上一页:第六节 x[SB]2[/SB]检验
当前页:一、四格表资料的x[SB]2[/SB]检验
下一页:二、四格表的专用公式

原始资料来源互联网,药药网整理。