二、四格表的专用公式《预防医学》

二、四格表的专用公式

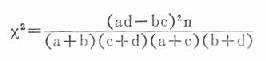
对于四格表资料,还可用以下专用公式求x2值。

公式(20.14)

式中a、b、c、d各代表四格表中四个实际数,现仍以表20-12为例,将上式符号标记如下(表20-13),并示范计算。

表20-13 两种疗法治疗卵巢肿患者的疗效

组别有效无效合计
化疗组19(a)24(b)43(a+b)
化疗加放疗组34(c)10(d)44(c+d)
 53(a+c)34(b+d)87(n)

计算结果与前述用基本公式一致,相差0.01用换算时小数点后四舍五入所致。

上一页:一、四格表资料的x[SB]2[/SB]检验
当前页:二、四格表的专用公式
下一页:三、四格表x[SB]2[/SB]值的校正

原始资料来源互联网,药药网整理。